
2016/5/16
-
- 水準測量と重力観測による地殻活動の研究
水準測量と重力観測による地殻活動の研究
御嶽山は1970年代後半から活発な群発地震が始まり、1983年に有史初の噴火となりました。水準測量により群発地震が活発な時は群発地震震源域で、火山活動の時は山頂部で隆起が推定されました。
画面をクリックすると画像が拡大されます
-
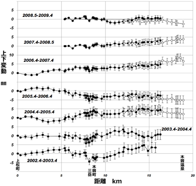
- 水準路線で観測された上下変動(2002-2009)
-
- 水準路線(赤線)の位置と群発地震の震央分布
-
- 御嶽山で推定されるマグマ熱水の供給モデル
重力観測により地下質量分布の変化を調べます。
地球の重力の大きさを調べています。地球の重力は時間や場所によって体で感じるより遥かに小さく変化します。これは他の天体との位置関係が変化することによって引力の合力が変化したり、地球の自転による遠心力の大きさが緯度によって異なることなどが原因です。他にも様々な要因によって地球の重力値は変化しますが、要するに質量を持ったものが移動するとそれに応じて重力値は変化します。このことを利用すると、地球内部での物質移動を直接とらえることができるのです。
-
- 相対重力計 gPhone
-
- 絶対重力計 FG5